Oscilaciones amortiguadas

Oscilador armónico sin pérdidas:
Se denominará  m a la masa e y a la distancia entre la posición de la masa y la posición de equilibrio. Se supondrá que la fuerza del resorte es estrictamente proporcional al desequilibrio: F=-ky  (ley de Hooke). F es la fuerza y  k la constante elástica del resorte. El signo negativo indica que cuando y es positiva la fuerza está dirigida hacia las y negativas.

Aplicando la 2ª ley de Newton: SF=ma
Y resolviendo la ecuación diferencial anterior obtenemos la ecuación del movimiento armónico simple:

Oscilador armónico amortiguado:
Añadiendo pérdidas de energía, se consigue modelar una situación más próxima a la realidad. Así, nótese que la oscilación descrita en el apartado anterior se prolongaría indefinidamente en el tiempo (la sinusoide que describe la posición no converge a cero en ningún momento). Una situación más verosímil se corresponde con la presencia de una fuerza adicional que frena el movimiento. Esa fuerza puede ser constante (pero siempre con signo tal que frene el movimiento). Es el caso de rozamientos secos: la fuerza no depende ni de la velocidad ni de la posición. Otra situación que se produce en la realidad es que la fuerza sea proporcional a la velocidad elevada a una potencia, entera o no. Así sucede cuando la fuerza que frena proviene de la viscosidad o de las pérdidas aerodinámicas. Se tratará únicamente el caso más simple, es decir, cuando la fuerza sea proporcional a la velocidad. En este caso la fuerza será:
Fuerza viscosa proporcional a la velocidad: F = - bv
Donde  b es un coeficiente que mide el amortiguamiento debido a la viscosidad. Si  es pequeño, el sistema está poco amortiguado. Nótese el signo negativo que indica, como antes, que si la velocidad es positiva, la fuerza tiene la dirección opuesta a la velocidad.
Aplicando la 2ª ley de Newton: SF=ma, con este término complementario la ecuación diferencial del sistema es:
Resolviendo la ecuación diferencial:
Tiene tres tipos de soluciones según el valor de (b2 - 4km):
  • Si  b2 - 4km < 0 el sistema oscila con amplitud decreciente (amortiguamiento débil o subcrítico)
  • Si  b2 - 4km = 0 el sistema tiene amortiguamiento crítico.
  • Si  b2 - 4km > 0 el sistema está sobreamortiguado (amortiguamiento fuerte o supercrítico)

Oscilador con amortiguamiento débil (b2 - 4km < 0)
Oscilaciones amortiguadas. En este caso, que es más interesante, tenemos un oscilador que oscila alrededor de la posición de equilibrio con amplitud decreciente.
La solución es:
como antes, Aj0 son constantes que dependen de las condiciones iniciales.
La pulsación es:
donde
La pulsación del sistema amortiguado wf es un poco menor que la pulsación del sistema no amortiguado w porque la fuerza que lo amortigua, frena la masa y la retarda. Y la amplitud de la sinusoide está controlada por la exponencial Aegt



Ecuaciones del Movimiento Armónico Simple (utilizando la función SENO)




               

Péndulo Físico


Un péndulo físico o péndulo compuesto es cualquier cuerpo rígido que pueda oscilar libremente en el campo gravitatorio alrededor de un eje horizontal fijo, que no pasa por su centro de masa. 
Si las distancia del centro de masa al eje de suspensión es d y el momento de inercia del péndulo respecto al eje de suspensión es I, el periodo de las oscilaciones T será:

Péndulo Simple


Un péndulo simple se define como una partícula de masa m suspendida del punto O por un hilo inextensible de longitud L y de masa despreciable.

Si la partícula se desplaza a una posición θ  (ángulo que hace el hilo con la vertical) y luego se suelta, el péndulo comienza a oscilar. El péndulo describe una trayectoria circular, un arco de una circunferencia de radio L. Estudiaremos su movimiento en la dirección tangencial y en la dirección normal.
Las fuerzas que actúan sobre la partícula de masa m son dos: el peso mg y la tensión T del hilo. 
Descomponemos el peso en la acción simultánea de sus dos componentes, mg·sen θ  en la dirección tangencial y mg·cos θ en la dirección radial.



Ecuación del movimiento en la dirección radial:
La aceleración de la partícula es a= v2/L dirigida radialmente hacia el centro de su trayectoria circular.
La segunda ley de Newton se escribe: ma= T - mg cos θ
Conocido el valor de la velocidad v en la posición angular q   podemos determinar la tensión T del hilo.
La tensión T del hilo es máxima, cuando el péndulo pasa por la posición de equilibrio, Tmáx = mg + mv2/L
La tensión T del hilo es mínima, en los extremos de su trayectoria cuando la velocidad es cero, Tmín = mg cos θ

Ecuación del movimiento en la dirección tangencial:
La aceleración de la partícula es at = dv/dt
La segunda ley de Newton se escribe:  m at = -mg·sen θ
La relación entre la aceleración tangencial at y la aceleración angular α es atα·L La ecuación del movimiento se escribe en forma de ecuación diferencial:
 
Cuando el ángulo θ es pequeño entonces, sen θ = θ , comparando la ecuación con la del movimiento armónico simple, el péndulo describe oscilaciones armónicas cuya ecuación es:
 θ = θsen(ω t+ δ)
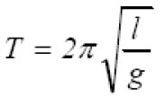
de frecuencia angular ω= g/L,  o de periodo:  



Energía del movimiento armónico simple. M.A.S.

Ley de Hooke

La fuerza elástica (recuperadora) es directamente proporcional al alargamiento (x), siendo k la constante recuperadora del muelle:

La fuerza de un muelle es una fuerza conservativa.


Una fuerza conservativa es aquella cuyo trabajo depende únicamente de las posiciones inicial y final de la partícula y no de la trayectoria que ésta ha descrito para ir desde la posición inicial a la final.

El trabajo de una fuerza conservativa viene dado por:
Las unidades de energía potencial en el Sistema Internacional son los julios (J).

Energía Potencial Elástica
Integrando esta ecuación entre cero y x se obtiene la expresión para la energía potencial elástica:
Se ha tomado nivel cero de energía potencial a la posición de equilibrio. Por tanto la energía potencial elástica asociada a la deformación x es:
La energía potencial asociada a un muelle, es una parábola.
La energía potencial máxima se produce cuando x=A


Energía cinética
La Energía cinética máxima se produce cuando x=0

Energía del movimiento armónico simple

Si no existe rozamiento entre el suelo y la masa, la energía mecánica de esta última se conserva. La suma de la energía cinética y potencial debe ser siempre constante:


 ETOTAL = E+ EP


En la siguiente figura se ha representado la energía total, la energía potencial elástica y la cinética para distintas posiciones de una partícula que describe un movimiento armónico simple.


La energía mecánica se conserva, por lo que para cualquier valor de x la suma de la energía cinética y potencial debe ser siempre:

Movimiento Armónico Simple. M.A.S.


Un movimiento armónico simple es el que describe una partícula sometida a una fuerza restauradora proporcional a su desplazamiento.
F = - k x     (Ley de Hooke)
Por ejemplo, el movimiento que describe una masa bajo la acción de la fuerza recuperadora del muelle o resorte:

La masa sujeta al muelle describe un movimiento oscilatorio. Para calcular su aceleración utilizamos la Segunda Ley de Newton (F = ma):
 
Para calcular la posición o elongación (x) de la masa en función del tiempo (t) habría que resolver la ecuación diferencial anterior que relaciona la aceleración (a) con el desplazamiento (x).



Ecuaciones del movimiento armónico simple (utilizando la función COSENO):
La solución de la ecuación diferencial anterior es:
Definimos la frecuencia angular ω, cuyas unidades en el SI son rad/scomo:
La constante A que aparece en la expresión anterior se denomina amplitud del movimiento, y es el máximo desplazamiento de la masa con respecto a su posición de equilibrio x = 0. Sus unidades en el SI son los metros (m).

El argumento del coseno (ωt+δ) es la fase y se mide en radianes, δ es la fase inicial, constante de fase o desfase y viene determinada por las condiciones iniciales del problema.

El tiempo que tarda la masa en efectuar una oscilación completa se denomina periodo (T), y está relacionado con la frecuencia angular mediante la expresión: ω = 2π/T

El número de oscilaciones que se realiza en un segundo se llama frecuencia (f) y se calcula como la inversa del periodo: = 1/T Se mide en s-1 o Herzios (Hz)

De la definición de frecuencia se obtiene que: ω = 2π f

La velocidad y la aceleración de una partícula que describe un movimiento armónico simple se obtiene derivando la ecuación de la posición en función del tiempo.

Ecuación de la posición en función del tiempo: 
Ecuación de la velocidad en función del tiempo:
Ecuación de la aceleración en función del tiempo:

Velocidad (v) y aceleración (a)  en función de la posición (x):

  
Sustituyendo x=0 obtenemos la velocidad máxima (vmáx ωA) y la aceleración mínima (amín = 0)
Sustituyendo x=A obtenemos la velocidad mínima (vmín = 0) y la aceleración máxima (amáx = - ω2A)

Posición, velocidad y aceleración de una partícula que describe un movimiento armónico simple. δ es la constante de fase y viene determinada por las condiciones iniciales del problema. 



Satélites y sus órbitas

Un satélite actúa básicamente como un repetidor situado en el espacio: recibe las señales enviadas desde la estación terrestre y las reemite a otro satélite o de vuelta a los receptores terrestres. En realidad hay dos tipos de satélites de comunicaciones:
  • Satélites pasivos. Se limitan a reflejar la señal recibida sin llevar a cabo ninguna otra tarea.
  • Satélites activos. Amplifican las señales que reciben antes de reemitirlas hacia la Tierra. Son los más habituales.

Los satélites son puestos en órbita mediante cohetes espaciales que los sitúan circundando la Tierra a distancias relativamente cercanas fuera de la atmósfera. Los tipos de satélites según sus órbitas son:

Satélites LEO (Low Earth Orbit, que significa órbitas bajas). Orbitan la Tierra a una distancia de 160-2000 km y su velocidad les permite dar una vuelta al mundo en 90 minutos. Se usan para proporcionar datos geológicos sobre movimiento de placas terrestres y para la industria de la telefonía por satélite.
Satélites MEO (Medium Earth Orbit, órbitas medias). Son satélites con órbitas medianamente cercanas, de unos 10.000 km. Su uso se destina a comunicaciones de telefonía y televisión, y a las mediciones de experimentos espaciales.
Satélites HEO (Highly Elliptical Orbit, órbitas muy elípticas). Estos satélites no siguen una órbita circular, sino que su órbita es elíptica. Esto supone que alcanzan distancias mucho mayores en el punto más alejado de su órbita. A menudo se utilizan para cartografiar la superficie de la Tierra, ya que pueden detectar un gran ángulo de superficie terrestre.
Satélites GEO (Geoestacionario). Tienen una velocidad de traslación igual a la velocidad de rotación de la Tierra, lo que supone que se encuentren suspendidos sobre un mismo punto del globo terrestre. Por eso se llaman satélites geoestacionarios. Para que la Tierra y el satélite igualen sus velocidades es necesario que este último se encuentre a una distancia fija de 35786 Km sobre el ecuador. Se destinan a emisiones de televisión y de telefonía, a la transmisión de datos a larga distancia, y a la detección y difusión de datos meteorológicos.


Órbita geoestacionaria


Una órbita geoestacionaria o GEO es una órbita geosíncrona en el plano ecuatorial terrestre, con una excentricidad nula (órbita circular) y un movimiento de Oeste a Este. Desde tierra, a una altitud de 35786 Km en el plano del ecuador terrestre, un objeto geoestacionario parece inmóvil en el cielo y, por tanto, es la órbita de mayor interés para los operadores de satélites artificiales de comunicación y de televisión. Esto es porque su velocidad 11.070 Km/h es igual a la de la rotación del planeta. O lo que es lo mismo, su periodo orbital es igual al periodo de rotación sidéreo de la Tierra, 23 horas, 56 minutos y 4,09 segundos. Debido a que su latitud siempre es igual a 0º, las localizaciones de los satélites sólo varían en su longitud. Esta posición permite la cobertura continua de casi la mitad del globo, visto siempre desde el mismo punto.

Aunque una órbita geoestacionaria debería mantener a un satélite en una posición fija sobre el ecuador, las perturbaciones orbitales causan deriva lenta pero constante alejándolo de su localización geoestacionaria. Los satélites corrigen estos efectos mediante maniobras de estacionamiento. La vida útil de los satélites depende de la cantidad de combustible que tienen y gastan en estas maniobras. Actualmente hay cerca de 400 satélites sobre esta órbita. Los satélites tienen una duración de vida superior a los 15 años. Los satélites geoestacionarios deben estar en la misma órbita, lo que puede suponer problemas para satélites que han sido retirados al final de su vida útil. Tales satélites continuarán utilizando una órbita inclinada o se moverán a una órbita cementerio.


Existe una red mundial de satélites meteorológicos geoestacionarios que proporcionan imágenes del espectro visible e infrarrojo de la superficie y atmósfera de la Tierra. Entre estos satélites se incluyen
  •  GOES E, de Estados Unidos.
  •  Meteosat, lanzados por la Agencia Espacial Europea y utilizados por la EUMETSAT.
  •  GMS, de Japón.
  •  INSAT, de la India.


Cálculo aproximado del radio de la órbita Geoestacionaria:
El radio de la órbita Geoestacionaria se puede calcular, igualando la Fuerza gravitacional de Newton a la Fuerza centrifuga:
y despejando el radio de la órbita r = Ro:
Si sustituimos los datos:
Periodo: T = 24 h = 86400 s
Constante de gravitación universal: G = 6,67 · 10-11 Nm2/kg2 
Masa de la tierra: MT=5,98 · 1024 kg
RT = 6370 Km

Obtenemos: r = 42.250 m, entonces la altura de la órbita será aproximadamente: h = r – RT = 35800 Km .

Desde Almagesto hasta De Revolutionibus Orbium Coelestium

ALMAGESTO (Ptolomeo, siglo II)
Almagesto es el nombre árabe de un tratado astronómico escrito en el siglo II por Claudio Ptolomeo de Alejandría, Egipto. Contiene el catálogo estelar más completo de la antigüedad que fue utilizado ampliamente por los árabes y luego los europeos hasta la alta Edad media, y en el que se describen el sistema geocéntrico y el movimiento aparente de las estrellas y los planetas. En el Almagesto, Ptolomeo presentó la descripción de las 48 constelaciones clásicas y creó un refinado sistema para explicar los movimientos aparentes de los planetas en un sistema geocéntrico en el que el Sol, la Luna y los planetas giraban alrededor de la Tierra en círculos epicíclicos. El Almagesto consta de 13 volúmenes.

Su famoso epigrama, es una composición poética breve que expresa un solo pensamiento principal festivo o satírico de forma ingeniosa: 

"Bien sé que soy mortal, una criatura de un día. Pero si mi mente observa los serpenteantes caminos de las estrellas, entonces mis pies ya no pisan la Tierra, sino que al lado de Zeus mismo me lleno con ambrosía, el divino manjar". Ptolomeo.

Las teorías astronómicas contenidas en este tratado, aunque incorrectas, estuvieron vigentes durante catorce siglos, influyendo en el pensamiento astronómico y científico hasta bien entrado el siglo XVI, durante el Renacimiento, que un modelo matemático completamente predictivo de un sistema heliocéntrico fue presentado por el matemático, astrónomo y clérigo católico polaco Nicolás Copérnico, con la publicación en 1543 del libro De Revolutionibus Orbium Coelestium, la obra está dividida en seis volúmenes. Copérnico pensaba que el Sistema Ptolemaico era demasiado complicado, y quería proponer un modelo alternativo más simple y correcto. Esto marcó el inicio de lo que se conoce en Historia de la ciencia como «Revolución copernicana». 

De Revolutionibus Orbium Coelestium (Copérnico, siglo XVI)

Evolución del Universo y Destino Final



Teoría sobre el origen y la formación del Universo (Big Bang)
El hecho de que el universo esté en expansión se deriva de las observaciones del corrimiento al rojo realizadas en la década de 1920 y que se cuantifican por la ley de Hubble. Dichas observaciones son la predicción experimental del modelo de Friedmann-Robertson-Walker, que es una solución de las ecuaciones de campo de Einstein de la relatividad general, que predicen el inicio del universo mediante un big bang.

El "corrimiento al rojo o redshift" es un fenómeno observado por los astrónomos, que muestra una relación directa entre la distancia de un objeto remoto (como una galaxia) y la velocidad con la que éste se aleja. Si esta expansión ha sido continua a lo largo de la vida del universo, entonces en el pasado estos objetos distantes que siguen alejándose tuvieron que estar una vez juntos. Esta idea da pie a la teoría del Big Bang; el modelo dominante en la cosmología actual.

La Ley de Hubble establece que el corrimiento al rojo de una galaxia es proporcional a la distancia a la que está.


z = \frac{\lambda_1-\lambda_2}{\lambda_1} = \frac{H_0}{c}D
Ho: constante de Hubble
D: distancia entre galaxias
c: velocidad de la luz
z: corrimiento al rojo, incremento en la longitud de onda (l) de radiación electromagnética recibida por un detector comparado con la longitud de onda emitida por la fuente.

La relación velocidad-distancia, siendo v la velocidad de recesión debida a la expansión del universo, puede formularse así: 
v = Ho D

Durante la era más temprana del Big Bang, se cree que el universo era un caliente y denso plasma. Según avanzó la expansión, la temperatura decreció hasta el punto en que se pudieron formar los átomos. En aquella época, la energía de fondo se desacopló de la materia y fue libre de viajar a través del espacio. La energía remanente continuó enfriándose al expandirse el universo y hoy forma el fondo cósmico de microondas. Esta radiación de fondo es remarcablemente uniforme en todas direcciones, circunstancia que los cosmólogos han intentado explicar como reflejo de un periodo temprano de inflación cósmica después del Big Bang.
El examen de las pequeñas variaciones en el fondo de radiación de microondas proporciona información sobre la naturaleza del universo, incluyendo la edad y composición. La edad del universo desde el Big Bang, de acuerdo a la información actual proporcionada por el WMAP de la NASA, se estima en unos 13.700 millones de años, con un margen de error de un 1% (137 millones de años). Otros métodos de estimación ofrecen diferentes rangos de edad, desde 11.000 millones a 20.000 millones.

Sopa Primigenia
Hasta hace poco, la primera centésima de segundo era más bien un misterio, impidiendo los científicos describir exactamente cómo era el universo. Los nuevos experimentos en el RHIC, en el Brookhaven National Laboratory, han proporcionado a los físicos una luz en esta cortina de alta energía, de tal manera que pueden observar directamente los tipos de comportamiento que pueden haber tomado lugar en ese instante.
En estas energías, los quarks que componen los protones y los neutrones no estaban juntos, y una mezcla densa supercaliente de quarks y gluones, con algunos electrones, era todo lo que podía existir en los microsegundos anteriores a que se enfriaran lo suficiente para formar el tipo de partículas de materia que observamos hoy en día.

Protogalaxias
Los rápidos avances acerca de lo que pasó después de la existencia de la materia aportan mucha información sobre la formación de las galaxias. Se cree que las primeras galaxias eran débiles "galaxias enanas" que emitían tanta radiación que separarían los átomos gaseosos de sus electrones. Este gas, a su vez, se estaba calentando y expandiendo, y tenía la posibilidad de obtener la masa necesaria para formar las grandes galaxias que conocemos hoy.


Destino Final
El destino final del universo tiene diversos modelos que explican lo que sucederá en función de diversos parámetros y observaciones. A continuación se explican los modelos fundamentales más aceptados:


Big Crunch o la Gran Implosión
Es posible que el inmenso aro que rodeaba a las galaxias sea una forma de materia que resulta invisible desde la Tierra. Esta materia oscura tal vez constituya el 99% de todo lo que hay en el universo.
Si el universo es suficientemente denso, es posible que la fuerza gravitatoria de toda esa materia pueda finalmente detener la expansión inicial, de tal manera que el universo volvería a contraerse, las galaxias empezarían a retroceder, y con el tiempo colisionarían entre sí. La temperatura se elevaría, y el universo se precipitaría hacia un destino catastrófico en el que quedaría reducido nuevamente a un punto.
Algunos físicos han especulado que después se formaría otro universo, en cuyo caso se repetiría el proceso. A esta teoría se la conoce como la teoría del universo oscilante.
Hoy en día esta hipótesis parece incorrecta, pues a la luz de los últimos datos experimentales, el Universo se está expandiendo cada vez más rápido.

Big Rip o Gran Desgarramiento
El Gran Desgarramiento o Teoría de la Eterna Expansión, llamado en inglés Big Rip, es una hipótesis cosmológica sobre el destino último del universo. Este posible destino final del universo depende de la cantidad de energía oscura existente en el Universo. Si el universo contiene suficiente energía oscura, podría acabar en un desgarramiento de toda la materia.
El valor clave es w, la razón entre la presión de la energía oscura y su densidad energética. A w < -1, el universo acabaría por ser desgarrado. Primero, las galaxias se separarían entre sí, luego la gravedad sería demasiado débil para mantener integrada cada galaxia. Los sistemas planetarios perderían su cohesión gravitatoria. En los últimos minutos, se desbaratarán estrellas y planetas, y los átomos serán destruidos.
Los autores de esta hipótesis calculan que el fin del tiempo ocurriría aproximadamente 3,5×1010 años después del Big Bang, es decir, dentro de 2,0×1010

Una modificación de esta teoría denominada Big Freeze, aunque poco aceptada,[cita requerida] afirma que el universo continuaría su expansión sin provocar un Big Rip.