Páginas

Velocidad de reacción


Con el transcurso del tiempo, en una reacción química los reactivos se van transformando en productos. ¿Cómo se mide la rapidez de esta transformación? Para ello se utiliza el término de velocidad de reacción, cuyo significado es análogo al de cualquier otro tipo de velocidad: mide lo que varía la concentración por unidad de tiempo de una sustancia que desaparece o se forma.
La velocidad de reacción representa la cantidad de reactivo que desaparece o la cantidad de producto formado por unidad de tiempo; si fuera constante se expresaría como: 
v = Dc/Dt
Siendo:
c = concentración de un reactivo o producto (mol/l)
t = tiempo (s)
v = velocidad (mol/l.s), que indica el número de moles transformados o formados por unidad de volumen, en la unidad de tiempo.

Ahora bien, la velocidad de reacción no es constante, por lo que es necesario definir velocidades instantáneas.
v=dc/dt
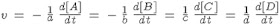
Con el fin de que la velocidad de reacción no dependa de la sustancia elegida para calcularla, se define la velocidad de reacción como la: “Derivada de la concentración de cualquier reactivo o producto, respecto al tiempo, dividida por su correspondiente coeficiente estequiométrico y precedida de un signo positivo o negativo, para que sea positiva”.

En la siguiente reacción:
 aA + bB ® cC + dD
La velocidad será: